Dec. 25, 2023
聚酰亞胺(Polyimide,簡稱PI)薄膜以其優異的機械性能、耐高溫性能、耐輻射性能、低介電常數和高電阻率等優異性能,廣泛應用于微電子行業作為介電空間層、金屬薄膜的保護覆蓋層和基材,尤其用于撓性覆銅板領域。然而PI薄膜因表面親水性差,導致其與膠粘劑、金屬粘合性差。為了改善粘合性,有必要對PI薄膜表面進行改性處理。低溫等離子體技術因操作簡單、環保、經濟等原因而被廣泛的應用于環保處理、材料改性等方面。
等離子體是一種全部或部分電離的氣體狀態物質,含有原子、分子、離子亞穩態和激發態,并且電子、正離子與負離子的含量大致相等,物質能量較高,易與其他物質起物理、化學和生理反應。
等離子體表面處理技術是一種結合物理和化學方法的氣態處理技術,因為具有低污染、不耗水、低能耗等特點在材料表面改性的應用中得到廣泛的關注。等離子體刻蝕對材料表面形態、對材料物理機械性能、對材料表面親疏水性都有著重要的影響。因為等離子體中粒子的能量一般高于材料中常規化學鍵鍵能,因此在這些高能粒子轟擊下,材料表面可能發生化學鍵斷裂、重組,從而達到材料表面性能改變的目的。
等離子體材料處理的作用主要有:
(1)刻蝕,等離子體中高速運動的粒子對材料表面的轟擊,對材料表面具有一定的燒蝕作用,在材料表面會產生坑洼、孔洞,增加了材料比表面積并改善表面潤濕性。
(2)表面交聯、修飾,等離子體中高能粒子包括電子、激發態粒子、自由基等轟擊材料表面使化學鍵發生斷裂,形成新的自由基,或通過自由基的撞擊直接向材料表面傳遞自由基。這些自由基之間發生組合形成新的基團,實現材料表面的交聯和修飾作用。
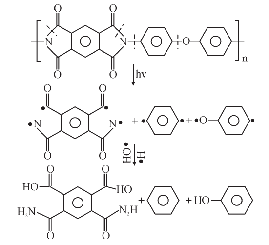
等離子體對材料的改性實際上是等離子體與材料表面之間相互作用的過程,在這個過程中,主要發生材料表面的刻蝕、分子鏈的交聯以及極性官能團的引入。高活性的等離子體使空氣中的許多分子(如H2O、O2、N2等)發生電離或者激發,并形成粒子產物(N2+、O2+、O.、H.、紫外光等),這些粒子產物在等離子體處理過程中會帶上較高的能量并撞擊PI薄膜,使得PI薄膜發生交聯或刻蝕,并引入-OH、-NH2等極性親水基團,進而增強薄膜表面的親水性以及表面能。此外,等離子的刻蝕也會使得薄膜表面的粗糙度增加,粗糙度的增加亦會增強其表面的親水性。在改性過程中,由于PI分子鏈中的醚鍵(C-O-C)及酰亞胺環上的C-N鍵較弱,在等離子體與PI分子鏈作用過程中會首先發生斷裂,斷裂的分子鏈與等離子體中游離的H.、O.等原子發生作用,進而形成-NH2等新的基團。等離子體與PI分子鏈可能的作用過程見圖1。

等離子體作用下 PI 分子可能的反應過程
綜上所述,聚酰亞胺薄膜等離子處理改性原理主要是通過等離子體在聚酰亞胺(PI)薄膜表面引入的-OH、-NH2等極性親水基團以及刻蝕造成的粗糙度增加是其親水性和表面能增加的主要原因。
Sep. 19, 2025
Sep. 17, 2025
Sep. 16, 2025
Sep. 13, 2025
Copyright@ 2024深圳納恩科技有限公司 All Rights Reserved|
Sitemap
| Powered by
| 粵ICP備2022035280號m.jinanzi.com | 備案號:粵ICP備2022035280號m.jinanzi.com