Oct. 07, 2024
等離子體是由電子、正負離子、自由基、激發態的原子及分子等粒子構成的整體呈電中性的物質形態。等離子活化是一種基于等離子體技術的表面處理技術,通常用于改變材料表面的化學和物理性質,以增強其特定的性能。本文通過多種表征測試技術對等離子體活化工藝在Si及SiO2晶片表面的作用進行探究,分析其對晶片表面物理形貌與粗糙度、化學結構與官能團、親水性的影響。
等離子體的處理會改變晶圓表面的潤濕性,由疏水變為親水狀態。本節將基于Si及SiO2晶片表面水接觸角的表征,探究等離子體活化對晶片表面親水性的影響。
等離子處理對Si、SiO2晶片親水性的影響
將活化參數中的氣體流量設置為40sccm,活化功率設置為300W,分別對經Ar等離子體、N2等離子體活化0~150s的Si、SiO2晶片表面接觸角進行測量,結果如圖1-1和圖1-2所示,將晶片表面接觸角隨活化時間的變化趨勢總結為圖1-3。對于Si晶片,經兩種等離子體活化30s后,接觸角都迅速下降至5°左右,水滴幾乎已經完全鋪展,隨著活化時間的增加,接觸角出現小幅度波動,但都穩定小于5°;而對于SiO2晶片,經兩種等離子體活化30s后,接觸角也迅速下降至8°左右,當活化時間大于60s后,表面接觸角逐漸穩定,在5°左右小范圍內波動。

圖1-1 Si晶片經等離子體活化不同時間的表面接觸角圖像,氣體流量為40sccm,活化功率為300W。(a)-(d)分別為經Ar等離子體活化60s、90s、120s及150s后的接觸角圖像;(e)-(h)分別為經N2等離子體活化60s、90s、120s及150s后的接觸角圖像

圖1-2 SiO2晶片經等離子體活化不同時間后的表面接觸角圖像,氣體流量為40sccm,活化功率為300W。(a)-(d)分別為經Ar等離子體活化60s、90s、120s及150s后的接觸角圖像;(e)-(h)分別為經N2等離子體活化60s、90s、120s及150s后的接觸角圖像

圖1-3 晶片表面接觸角隨等離子活化時間變化曲線。(a) Si晶片;(b) SiO2晶片
晶片表面親水性的提升實際上是因為等離子體處理之后,晶片表面以親水性的Si-OH為末端官能團。因此,本節將利用FTIR對等離子體活化前后Si晶片和SiO2晶片表面Si-OH官能團的密度以及Si-O-Si結構的吸收峰位置進行表征測試,探究等離子體活化工藝對表面化學組分的影響。
等離子處理對Si晶片表面化學組分的影響
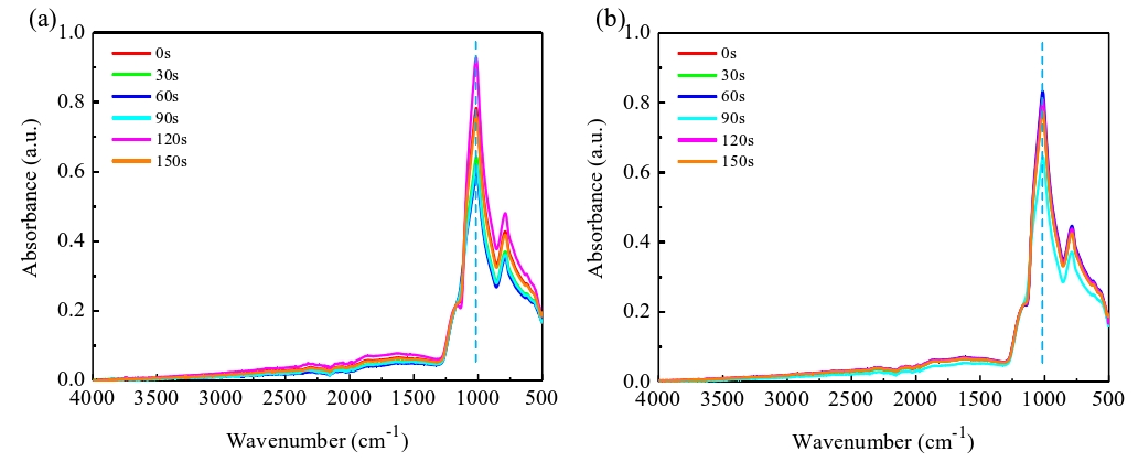
固定氣體流量40sccm,活化功率300W,對等離子體活化0~150s的Si晶片進行FITR表征。通過FTIR的ATR模式對Si晶片表面的Si-OH相對密度進行測試,波數范圍為2500~4000cm-1。經過Ar等離子體和N2等離子體活化不同時間的FTIR光譜如圖2-1所示。由光譜圖可以看出,經兩種等離子體處理的Si晶片表面均出現了3000~3700cm-1范圍內的寬峰,對應于表面的Si-OH以及可能的吸附水。這些官能團由于氫鍵的作用,紅外吸收峰發生了展寬,下文用“羥基峰”來指代這個寬峰。使用積分法計算波數3000~3700cm-1范圍內的寬峰面積,并以此面積的值對Si-OH的相對密度作半定量的表征。由于光譜基線存在一定漂移,因此通過二次多項式法對3000~3700cm-1范圍的光譜進行基線校正,校正結果如圖2-2所示,羥基峰的面積總結為表2-1。觀察圖表發現,在兩種等離子體處理條件下,羥基峰的面積隨處理時間增加的變化趨勢不同。對于Ar等離子體處理的Si晶片,羥基峰面積在60s后達到最大值,隨即顯著下降;對于N2等離子體處理的Si晶片,羥基峰面積在90s后上升至最大值,至150s后出現小幅度的下降。此結果表明:(1)羥基峰面積并非隨等離子體處理時間延長而單調上升,而是在某一個時間范圍內達到最大值,然后下降。推測其原因是在等離子體處理過程中,一方面Si表面的Si-H被轉化為了Si-OH;另一方面Si-OH在等離子體的撞擊下可能產生了消耗,即類似于濺射刻蝕的過程。(2)在兩種等離子體處理過程中,羥基峰面積達到最大值的時間有所不同。推測其原因是Ar電離后的離子、自由基質量大于N2的,因此對Si表面改性的速率常數存在差異,Ar等離子體的改性速率略高于N2等離子體。這種趨勢在表面接觸角的測試中并不明顯,可能是由于接觸角測試對于-OH密度較大的情況下分辨率有限所致。

圖2-1 經等離子體活化不同時間的Si晶片表面ATR-FTIR光譜。(a) Ar;(b) N2

圖2-2 進行基線校正后的Si晶片表面ATR-FTIR光譜。(a) Ar;(b) N2
表2-1經兩種等離子體活化不同時間的Si晶片表面羥基峰面積

對SiO2晶片表面化學組分的影響
使用相同的ATR-FTIR方法對SiO2表面的Si-OH相對密度進行了測量,測量結果如圖2-3所示,基線校正后的結果如圖2-4所示。由圖可知,經Ar等離子體處理后,SiO2表面羥基峰強度很低,幾乎接近設備的本底噪音。經N2等離子體處理后,SiO2表面羥基峰強度輕微上升,但明顯小于Si。這與接觸角測試結果有較大差別,因此,還需借助鍵合強度表征實驗來分析鍵合過程中參與反應的Si-OH密度。由于SiO2晶片表面存在一層較厚的氧化層薄膜,因此在圖中藍色虛線標注的1020cm-1處觀察到明顯的Si-O-Si結構吸收峰,而Si表面的原生氧化層較薄,其在ATR測試中并不明顯。另外,ATR測試的Si-O-Si吸收峰位置存在一定畸變,因此需使用透射模式對其進行分析。
使用與Si相同的TR-FTIR方法對SiO2晶片進行測試,測試結果如圖2-5所示,圖中藍色虛線標注位置對應的波數為1096cm-1,此波數處存在十分明顯的紅外吸收峰,對應于SiO2晶片表面的Si-O-Si結構,鍵角約為144°。另外,根據1096cm-1處光譜的局部放大圖可知,經兩種等離子體處理之后,Si-O-Si振動吸收峰的位置沒有發生偏移,表明SiO2表面Si-O-Si的結構特征在經等離子體處理之后也沒有發生改變。

圖2-3 經等離子體活化不同時間的SiO2晶片表面ATR-FTIR光譜。(a) Ar;(b) N2

圖2-4 進行基線校正后的SiO2晶片表面ATR-FTIR光譜。(a) Ar;(b) N2

圖2-5 經等離子體活化不同時間的SiO2晶片表面TR-FTIR光譜。(a) Ar;(b) N2
等離子體的轟擊會對晶片表面具有一定的刻蝕作用,改變晶片表面的物理形貌以及粗糙度,因此,本節將利用AFM對經等離子體活化不同時間(氣體流量為40sccm,活化功率為300W)的晶片表面進行表征,以探究等離子體活化前后晶片表面物理形貌及粗糙度的變化。
對Si晶片表面粗糙度的影響
首先分別利用Ar等離子體和N2等離子體對Si晶片進行0s、60s、150s的活化處理,之后利用AFM的輕敲模式對晶片表面進行掃描,掃描范圍1×1μm2,掃描結果如圖3-1所示。根據圖3-1a可知,未經等離子體活化的Si晶片表面形貌起伏較大,存在一些較大的納米凸起,圖像襯度明顯且分布不均勻,表面最大峰谷差為7.5nm。經Ar等離子體活化60s及150s后,表面較大的納米凸起因刻蝕作用而減小,由表面形貌起伏產生的圖像襯度也趨向均勻化,最大峰谷差分別降至3.2nm和2.1nm,如圖3-2b和c所示。圖3-1d和e分別為經N2等離子體活化60s及150s后的Si晶片表面形貌圖像。由圖可知,最大峰谷差分別降至2.7nm和3nm,與Ar等離子體處理的結果相似,圖像襯度及形貌均勻性均得到改善。

圖3-1 經等離子體活化不同時間的Si晶片表面形貌圖像。 (a) 0 s;(b) Ar-60 s;(c) Ar-1 50 s;(d) N2-60 s;(e) N2-150 s
對SiO2晶片表面粗糙度的影響
同樣地,對SiO2晶片表面進行活化處理,并用AFM掃描形貌,掃描結果如圖3-2所示。未經等離子體活化的SiO2晶片表面因形貌起伏較大而存在明顯的圖像襯度,表明此時表面的形貌不均勻。表面存在許多較大的納米凸起,最大峰谷差達17nm,相比于未活化的Si晶片,SiO2晶片表面的形貌不均勻性更大。而經過Ar等離子體或N2等離子體活化一定時間后,SiO2晶片表面的圖像襯度逐漸均勻化,且最大峰谷差均降至2.5nm左右,表面形貌均勻性得到改善。

圖3-2 經等離子體活化不同時間的SiO2晶片表面形貌圖像。 (a) 0 s;(b) Ar-60 s;(c) Ar-1 50 s;(d) N2-60 s;(e) N2-150 s
經等離子體活化處理后,Si、SiO2晶片表面有機污染物得到去除,表面形貌得到整平,表面粗糙度降低,表面懸掛鍵密度增加,這些高活性的懸掛鍵吸附空氣中游離的-OH,在晶片表面形成親水的Si-OH基團,得到親水的表面。
Nov. 17, 2025
Nov. 15, 2025
Nov. 15, 2025
Nov. 13, 2025
Copyright@ 2024深圳納恩科技有限公司 All Rights Reserved|
Sitemap
| Powered by
| 粵ICP備2022035280號m.jinanzi.com | 備案號:粵ICP備2022035280號m.jinanzi.com